ГДЗ Химия 8 класс Габриелян

ГДЗ Химия 8 класс Габриелян

авторы: .
издательство: "Дрофа"

Раздел:

ГДЗ учебник по химии 8 класс Габриелян. §11. Вопросы и задания. Номер №2

Запишите схемы образования химических связей для веществ, состав которых отображают формулами KCl и C l 2 .

reshalka.com

ГДЗ учебник по химии 8 класс Габриелян. §11. Вопросы и задания. Номер №2

Решение

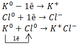
  1. KCl.
    Калий — это элемент главной подгруппы I группы Периодической системы Д.И. Менделеева, металл. Его атому легче отдать один внешний электрон, чем принять недостающие семь.
    Хлор — элемент главной подгруппы VII группы, неметалл. Его атому легче принять 1 электрон, чем отдать 7 электронов с внешнего уровня.
    Найдём наименьшее общее кратное между зарядами образовавшихся ионов, оно равно 1 (1 * 1). Затем определим, сколько атомов калия нужно взять, чтобы они отдали один электрон (т.е. надо взять 1 атом калия), и сколько атомов хлора надо взять, чтобы они могли принять один электрон (т.е. нужно взять 1 атом хлора).
    Решение рисунок 1
  2. C l 2
    Хлор — это элемент главной подгруппы VII группы. Его атомы имеют по семь электронов на внешнем уровне. Чтобы определить число неспаренных электронов, воспользуемся формулой:
    8 – N = число неспаренных электронов, где N— номер группы химического элемента.
    Следовательно, атомы хлора будут иметь (87 = 1) один неспаренный электрон.
    Решение рисунок 2
    Cl − Cl
    Связь между атомами одного и того же элемента, ковалентна.